This is an abliterated version of Olmo-3-7B-Instruct, made using Heretic v1.0.1
The quantizations were created using an imatrix merged from combined_en_small and harmful.txt to leverage the abliterated nature of the model.
Performance
It already was less obstructive than other models, at 28% against 80+% of other models, but it can always be improved!
| Metric | This model | Original model |
|---|---|---|
| KL divergence | 0.0 | 0 (by definition) |
| Refusals | 6/100 | 28/100 |
It's impressive that the KL divergence remained at 0.
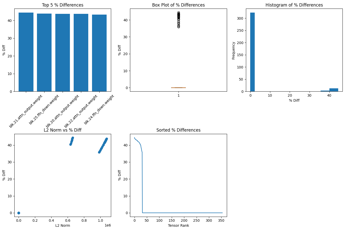
Analysis against the original model:
Detailed Analysis:
- Total Tensors: 355
- Tensors with Diffs: 32 (9.0%)
- Average % Diff: 3.73%
- Median % Diff: 0.00%
- Min/Max % Diff: 0.00% / 44.48%
- Std Dev % Diff: 11.88%
- Skewness % Diff: 2.88
- Avg L2 Norm: 85225.25
- Tensors with >5% diff: 32
- Top differences: blk.21.attn_output.weight ((4096, 8192), L2: 659830.15): 44.48% blk.25.ffn_down.weight ((4096, 22016), L2: 1075726.18): 43.86% blk.20.attn_output.weight ((4096, 8192), L2: 655471.58): 43.76% blk.22.attn_output.weight ((4096, 8192), L2: 655063.13): 43.67% blk.24.ffn_down.weight ((4096, 22016), L2: 1070648.90): 43.38%
File Comparison: File 1: Avg Abs Value = 77.9757, Deviation Score = 0.0586 File 2: Avg Abs Value = 77.9732, Deviation Score = 0.0586 Positive Diffs (File 1 > File 2): 32, Negative Diffs (File 2 > File 1): 0
BibTeX entry and citation info
@misc{heretic,
author = {Weidmann, Philipp Emanuel},
title = {Heretic: Fully automatic censorship removal for language models},
year = {2025},
publisher = {GitHub},
journal = {GitHub repository},
howpublished = {\url{https://github.com/p-e-w/heretic}}
}
Original model card:
Model Details
Model Card for Olmo 3 7B Instruct
We introduce Olmo 3, a new family of 7B and 32B models both Instruct and Think variants. Long chain-of-thought thinking improves reasoning tasks like math and coding.
Olmo is a series of Open language models designed to enable the science of language models. These models are pre-trained on the Dolma 3 dataset and post-trained on the Dolci datasets. We are releasing all code, checkpoints, logs (coming soon), and associated training details.
The core models released in this batch include the following:
| Stage | Olmo 3 7B Think | Olmo 3 32B Think | Olmo 3 7B Instruct |
|---|---|---|---|
| Base Model | Olmo-3-7B | Olmo-3-32B | Olmo-3-7B |
| SFT | Olmo-3-7B-Think-SFT | Olmo-3-32B-Think-SFT | Olmo-3-7B-Instruct-SFT |
| DPO | Olmo-3-7B-Think-DPO | Olmo-3-32B-Think-DPO | Olmo-3-7B-Instruct-DPO |
| Final Models (RLVR) | Olmo-3-7B-Think | Olmo-3-32B-Think | Olmo-3-7B-Instruct |
Installation
Olmo 3 is supported in transformers 4.57.0 or higher:
pip install transformers>=4.57.0
Inference
You can use OLMo with the standard HuggingFace transformers library:
from transformers import AutoModelForCausalLM, AutoTokenizer
olmo = AutoModelForCausalLM.from_pretrained("allenai/Olmo-3-7B-Instruct")
tokenizer = AutoTokenizer.from_pretrained("allenai/Olmo-3-7B-Instruct")
message = ["Who would win in a fight - a dinosaur or a cow named Moo Moo?"]
inputs = tokenizer(message, return_tensors='pt', return_token_type_ids=False)
# optional verifying cuda
# inputs = {k: v.to('cuda') for k,v in inputs.items()}
# olmo = olmo.to('cuda')
response = olmo.generate(**inputs, max_new_tokens=100, do_sample=True, top_k=50, top_p=0.95)
print(tokenizer.batch_decode(response, skip_special_tokens=True)[0])
>> 'This is a fun and imaginative question! Letโs break it down...'
For faster performance, you can quantize the model using the following method:
AutoModelForCausalLM.from_pretrained("allenai/Olmo-3-7B-Instruct",
torch_dtype=torch.float16,
load_in_8bit=True) # Requires bitsandbytes
The quantized model is more sensitive to data types and CUDA operations. To avoid potential issues, it's recommended to pass the inputs directly to CUDA using:
inputs.input_ids.to('cuda')
We have released checkpoints for these models. For post-training, the naming convention is step_XXXX.
To load a specific model revision with HuggingFace, simply add the argument revision:
olmo = AutoModelForCausalLM.from_pretrained("allenai/Olmo-3-7B-Instruct", revision="step_300")
Or, you can access all the revisions for the models via the following code snippet:
from huggingface_hub import list_repo_refs
out = list_repo_refs("allenai/Olmo-3-7B-Instruct")
branches = [b.name for b in out.branches]
Chat template
Default System Message
The default system prompt for this model is:
<|im_start|>system
You are a helpful function-calling AI assistant.
You do not currently have access to any functions. <functions></functions><|im_end|>
Chat Format
The chat template for this model is formatted as:
<|im_start|>system
You are a helpful function-calling AI assistant.
You do not currently have access to any functions. <functions></functions><|im_end|>
<|im_start|>user
Who would win in a fight - a dinosaur or a cow named Moo Moo?<|im_end|>
<|im_start|>assistant
This is a fun and imaginative question! Letโs break it down...
Moo Moo the cow would certinaly win.
<|endoftext|>
Model Description
- Developed by: Allen Institute for AI (Ai2)
- Model type: a Transformer style autoregressive language model.
- Language(s) (NLP): English
- License: This model is licensed under Apache 2.0. It is intended for research and educational use in accordance with Ai2's Responsible Use Guidelines.
- Contact: Technical inquiries:
[email protected]. Press:[email protected] - Date cutoff: Dec. 2024.
Model Sources
- Project Page: https://allenai.org/olmo
- Repositories:
- Open-Instruct for DPO and RLVR: https://github.com/allenai/open-instruct
- OLMo-Core for pre-training and SFT: https://github.com/allenai/OLMo-core
- OLMo-Eval for evaluation: https://github.com/allenai/OLMo-Eval
- Paper: [TBD]
Evaluation
| Skill | Benchmark | Olmo 3 Instruct 7B SFT | Olmo 3 Instruct 7B DPO | Olmo3 Instruct 7B | Qwen 3 8B (no reasoning) | Qwen 3 VL 8B Instruct | Qwen 2.5 7B | Olmo 2 7B Instruct | Apertus 8B Instruct | Granite 3.3 8B Instruct |
|---|---|---|---|---|---|---|---|---|---|---|
| Math | MATH | 65.1 | 79.6 | 87.3 | 82.3 | 91.6 | 71.0 | 30.1 | 21.9 | 67.3 |
| AIME 2024 | 6.7 | 23.5 | 44.3 | 26.2 | 55.1 | 11.3 | 1.3 | 0.5 | 7.3 | |
| AIME 2025 | 7.2 | 20.4 | 32.5 | 21.7 | 43.3 | 6.3 | 0.4 | 0.2 | 6.3 | |
| OMEGA | 14.4 | 22.8 | 28.9 | 20.5 | 32.3 | 13.7 | 5.2 | 5.0 | 10.7 | |
| Reasoning | BigBenchHard | 51.0 | 69.3 | 71.2 | 73.7 | 85.6 | 68.8 | 43.8 | 42.2 | 61.2 |
| ZebraLogic | 18.0 | 28.4 | 32.9 | 25.4 | 64.3 | 10.7 | 5.3 | 5.3 | 17.6 | |
| AGI Eval English | 59.2 | 64.0 | 64.4 | 76.0 | 84.5 | 69.8 | 56.1 | 50.8 | 64.0 | |
| Coding | HumanEvalPlus | 69.8 | 72.9 | 77.2 | 79.8 | 82.9 | 74.9 | 25.8 | 34.4 | 64.0 |
| MBPP+ | 56.5 | 55.9 | 60.2 | 64.4 | 66.3 | 62.6 | 40.7 | 42.1 | 54.0 | |
| LiveCodeBench v3 | 20.0 | 18.8 | 29.5 | 53.2 | 55.9 | 34.5 | 7.2 | 7.8 | 11.5 | |
| IF | IFEval | 81.7 | 82.0 | 85.6 | 86.3 | 87.8 | 73.4 | 72.2 | 71.4 | 77.5 |
| IFBench | 27.4 | 29.3 | 32.3 | 29.3 | 34.0 | 28.4 | 26.7 | 22.1 | 22.3 | |
| Knowledge | MMLU | 67.1 | 69.1 | 69.1 | 80.4 | 83.6 | 77.2 | 61.6 | 62.7 | 63.5 |
| QA | PopQA | 16.5 | 20.7 | 14.1 | 20.4 | 26.5 | 21.5 | 25.5 | 25.5 | 28.9 |
| GPQA | 30.0 | 37.9 | 40.4 | 44.6 | 51.1 | 35.6 | 31.3 | 28.8 | 33.0 | |
| Chat | AlpacaEval 2 LC | 21.8 | 43.3 | 40.9 | 49.8 | 73.5 | 23.0 | 18.3 | 8.1 | 28.6 |
| Tool Use | SimpleQA | 74.2 | 79.8 | 79.3 | 79.0 | 90.3 | 78.0 | โ | โ | โ |
| LitQA2 | 38.0 | 43.3 | 38.2 | 39.6 | 30.7 | 29.8 | โ | โ | โ | |
| BFCL | 48.9 | 49.6 | 49.8 | 60.2 | 66.2 | 55.8 | โ | โ | โ | |
| Safety | Safety | 89.2 | 90.2 | 87.3 | 78.0 | 80.2 | 73.4 | 93.1 | 72.2 | 73.7 |
Model Details
Stage 1: SFT
- supervised fine-tuning on the Dolci-Think-SFT-7B dataset. This dataset consits of math, code, chat, and general knowledge queries.
- Datasets: Dolci-Think-SFT-7B, Dolci-Instruct-SFT-7B
Stage 2:DPO
- direct preference optimization on the Dolci-Think-DPO-7B dataset. This dataset consits of math, code, chat, and general knowledge queries.
- Datasets: Dolci-Think-DPO-7B, Dolci-Instruct-DPO-7B
Stage 3: RLVR
- reinforcement learning from verifiable rewards on the Dolci-Think-RL-7B dataset. This dataset consits of math, code, instruction-following, and general chat queries.
- Datasets: Dolci-Think-RL-7B, Dolci-Instruct-RL-7B
Bias, Risks, and Limitations
Like any base language model or fine-tuned model without safety filtering, these models can easily be prompted by users to generate harmful and sensitive content. Such content may also be produced unintentionally, especially in cases involving bias, so we recommend that users consider the risks when applying this technology. Additionally, many statements from OLMo or any LLM are often inaccurate, so facts should be verified.
License
This model is licensed under Apache 2.0. It is intended for research and educational use in accordance with Ai2's Responsible Use Guidelines.
Citation
A technical manuscript is forthcoming!
Model Card Contact
For errors in this model card, contact [email protected].
- Downloads last month
- 576
Model tree for noctrex/Olmo-3-7B-Instruct-abliterated-GGUF
Base model
allenai/Olmo-3-1025-7B
